¿Cuáles son los meses más lluviosos en Chile?
Chile presenta una notable diversidad climática que se refleja en sus patrones de precipitación. Desde el árido norte hasta el lluvioso sur. Los meses más lluviosos varían según la región, influenciados por factores geográficos, atmosféricos y fenómenos como El Niño.

Chile es un país geográficamente único. Su gran extensión de norte a sur, junto con la influencia del océano Pacífico y la cordillera de los Andes, da origen a una diversidad de climas difícil de encontrar en otro lugar del mundo.
Uno de los fenómenos más llamativos y contrastantes es el patrón de lluvias. ¿En qué meses llueve más en Chile? La respuesta varía significativamente según la zona geográfica, y entenderlo es clave para la agricultura, la planificación urbana, la gestión del agua y la vida cotidiana de millones de personas.
Zona norte: el dominio del desierto
La zona norte de Chile, que abarca desde la frontera con Perú hasta aproximadamente el río Copiapó (región de Atacama), se caracteriza por su extrema aridez. Aquí se encuentra el desierto de Atacama, considerado el más seco del mundo. En ciudades como Arica, Iquique, Antofagasta o Calama, las precipitaciones anuales promedio no superan los 2 a 15 milímetros, y hay años completos en los que no se registra una sola gota de lluvia.

Las escasas lluvias que ocurren en esta zona están asociadas principalmente al fenómeno conocido como el mal llamado “invierno altiplánico”, que ocurre durante los meses de verano austral (enero y febrero). Este fenómeno es producto del transporte de humedad desde la Amazonía hacia los Andes, lo que genera tormentas eléctricas y chubascos, principalmente en sectores precordilleranos y altiplánicos. Sin embargo, en la costa y los valles bajos, este efecto es casi nulo. En muchas ciudades norteñas pueden pasar años sin que caiga una sola gota de lluvia.
Otro tipo de precipitación que se puede observar en la zona costera norte es la camanchaca: una niebla espesa que se forma por la condensación de la humedad marina. Aunque no deja precipitaciones medibles, es una fuente importante de humedad para algunos ecosistemas locales.
Zona centro: estaciones bien marcadas
Desde la región de Coquimbo hasta la del Biobío, se extiende la zona central de Chile, donde el régimen de lluvias es de tipo mediterráneo. Esto significa que las precipitaciones se concentran en los meses de invierno (entre mayo y agosto), mientras que los veranos son secos y calurosos.

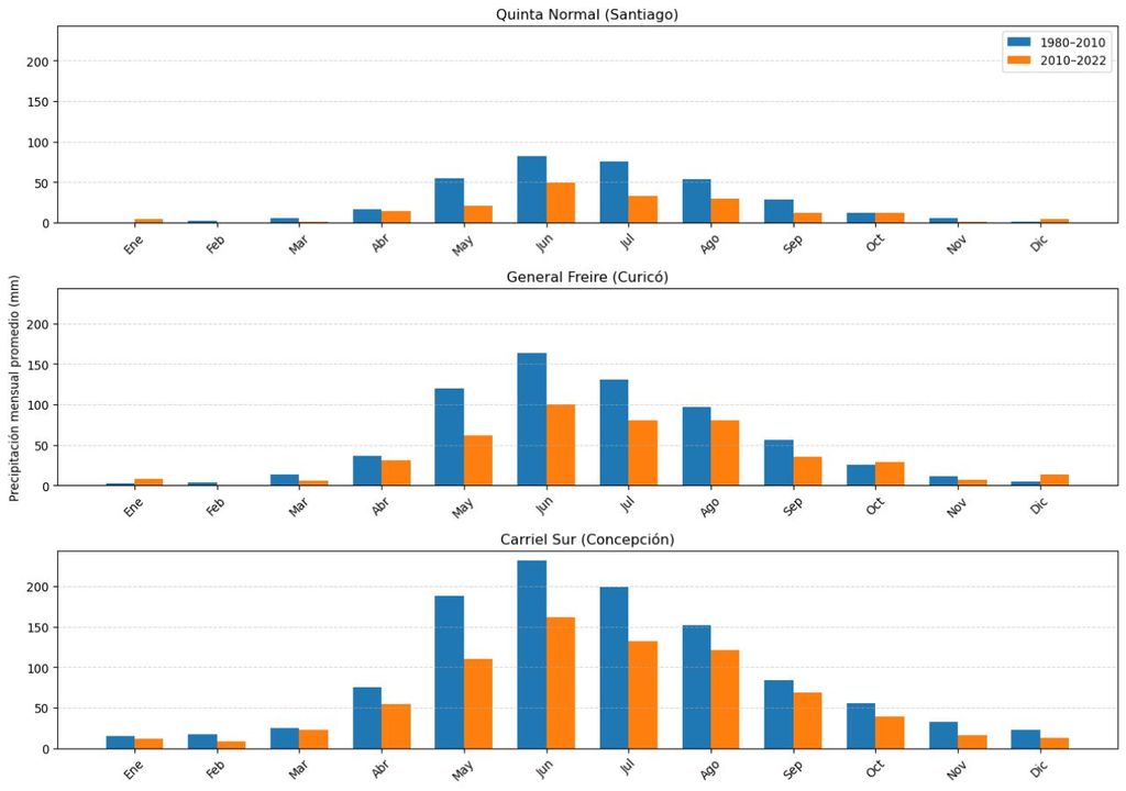
Las lluvias anuales en esta zona varían bastante según la latitud y la altitud. Por ejemplo, en La Serena caen entre 80 y 120 mm al año, mientras que en Santiago se registran entre 250 y 350 mm anuales, y en Talca ya se superan los 600 mm en promedio. En la cordillera, los montos pueden ser mucho mayores, con precipitaciones que en invierno se presentan principalmente en forma de nieve.
El régimen anual está fuertemente influenciado por el paso de sistemas frontales provenientes del Pacífico Sur. En años secos (muchas veces relacionados con el fenómeno de El Niño-Oscilación del Sur, ENSO), esta zona puede sufrir sequías severas, con importantes consecuencias para la agricultura, el abastecimiento de agua potable y la generación hidroeléctrica.
Zona sur: Lluvias abundantes y regulares
La zona sur de Chile comprende desde la Araucanía hasta los Lagos (aproximadamente entre los 38° y 42° de latitud sur). Aquí el clima cambia significativamente, tornándose más templado y lluvioso durante todo el año, aunque con un máximo en invierno.

Ciudades como Valdivia o Puerto Montt reciben entre 1.500 y 2.500 mm de lluvia al año, con más de 200 días de precipitaciones en promedio. Esto se debe al constante paso de sistemas frontales y a la influencia del océano Pacífico, que mantiene la atmósfera húmeda y estable.
A diferencia de la zona central, aquí no hay una estación seca bien definida. Aunque los meses de verano (diciembre a febrero) son más soleados, las lluvias siguen presentes, lo que permite una vegetación exuberante y verde durante todo el año, caracterizada por bosques templados lluviosos o valdivianos, únicos en el mundo.
Zona austral: la Patagonia húmeda y ventosa
La zona austral, que se extiende desde Chiloé hasta el extremo sur del continente (regiones de Aysén y Magallanes), presenta un régimen de lluvias complejo, condicionado por la interacción de los vientos del oeste, la cordillera de los Andes y la presencia de los fiordos y canales.

En esta región, las precipitaciones son muy variables según la ubicación. En la costa occidental (como en Puerto Aysén o Puerto Natales), los montos superan fácilmente los 3.000 mm anuales, mientras que en sectores más continentales u orientales, como Punta Arenas, las precipitaciones bajan a unos 400 mm anuales. Esta diferencia se explica por el efecto orográfico: las montañas retienen la humedad del océano, dejando el aire seco al otro lado.
El ciclo anual de lluvias en la zona austral es menos estacional que en el centro del país. Aquí puede llover en cualquier mes del año, con una leve tendencia a que los meses de otoño e invierno sean más lluviosos. Además, la nieve es frecuente en los sectores cordilleranos y, en algunas localidades, puede registrarse en el mismo nivel del mar durante el invierno.
El régimen de lluvias en Chile no solo es diverso, sino también vulnerable. En las últimas décadas, se ha observado una disminución significativa de las precipitaciones en la zona centro-sur, fenómeno conocido como “megasequía”, que lleva más de una década afectando a la agricultura, los ecosistemas y el abastecimiento de agua. Por eso, entender cómo funciona el régimen de lluvias en Chile no solo es fascinante desde el punto de vista geográfico, sino también esencial para adaptarnos a un futuro climático incierto.
Referencias de la noticia
-Bases de datos: Explorador de precipitaciones Mawün, CR2
-Análisis CR2. Un breve recuento de las lluvias en la zona central de Chile ante la retirada de La Niña
- Dirección Meteorológica de Chile. Reporte anual de la evolución del clima en Chile
No te pierdas la última hora de Meteored y disfruta de todos nuestros contenidos en Google Discover totalmente GRATIS
+ Seguir a Meteored